开刀最有效的可能还是上下颌前移手术(MMA),耳鼻喉医生做的手术比较hit or miss。用CPAP确实是要适应,我之前适应了好几个月,不过我的问题主要是舌头,CPAP帮助不大。
舌后ablation看过吗?
现在不太敢做切软组织的手术了,尤其是舌头削了怕影响吞咽。
去看sleep doctor需要先referral吗
要的。。。
Referral还得被charge一笔呀 ![]()
refer能争取一下primary care证明“嗯,真的有毛病,有必要看下一个医生” 而不是“嘿我今天心血来潮就要去看specialist” 有被保险打折的可能
在网上看
网上怎么看
有什么推荐的吗
ppo plan有的可以直接看
本坛发现真姚明 ![]()


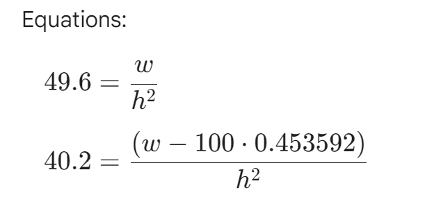
难道我的体重秤bmi计算有误嘛
请问你用nasal pillow还要tape mouth吗? 感觉晚上张嘴会漏气, 但是tape更不舒服…
primary care这几个月都不在,给我推荐了个Pulmonologist做sleep check,靠谱吗
The magnitude of upper airway narrowing during sleep is often related to body mass index
我不用 Mouth taping 。最一开始用nasal pillow的时候还配了个chinstrap,不过Sleep Doctor不推荐我用,说是有窒息的风险。 我自己只用nasal pillow适应了两天,就不怎么漏气了。
AirSense App可以查mask seal的值,一般低于20L/min都没什么问题。
用过nasal pillow之后真的是回不去全脸了,但对于新手来说可能确实难适应一点,用几个月之后就习惯了,全脸其实想不漏气还挺难的,而最讨厌的是鼻梁矮的话鼻梁那里漏气吹眼睛很不舒服
你确认坐着睡也会有呼吸暂停?
报不掉,保险里没有travel cpap的code
Full Face Mask不能翻身,我只要一侧睡就漏气,然后就醒了 ![]()