Birthright Citizenship 的 emergency docket decision 之后要暂停 executive branch actions 只有两个办法,一个是用 APA set aside,一个是集体诉讼。前者快可以直接file,后者慢慢来,一起搞挺好的。
法官要求政府12月5日向法庭提交完整的administrative record,且似乎已经对政府律师屡次拖延时间有点不耐烦了
同时,这名律师支持了政府的立场,认为总统不受APA约束,总统在控制出入境方面具有权威,政府部门必须遵守总统的指示
今天已经是12月6日了,还没有政府律师提交了Administrative Record的消息
X上有移民律师反映,提交的Administrative Record只有一份DOS内部memo,且其内容与其他政府公开文件存在矛盾之处
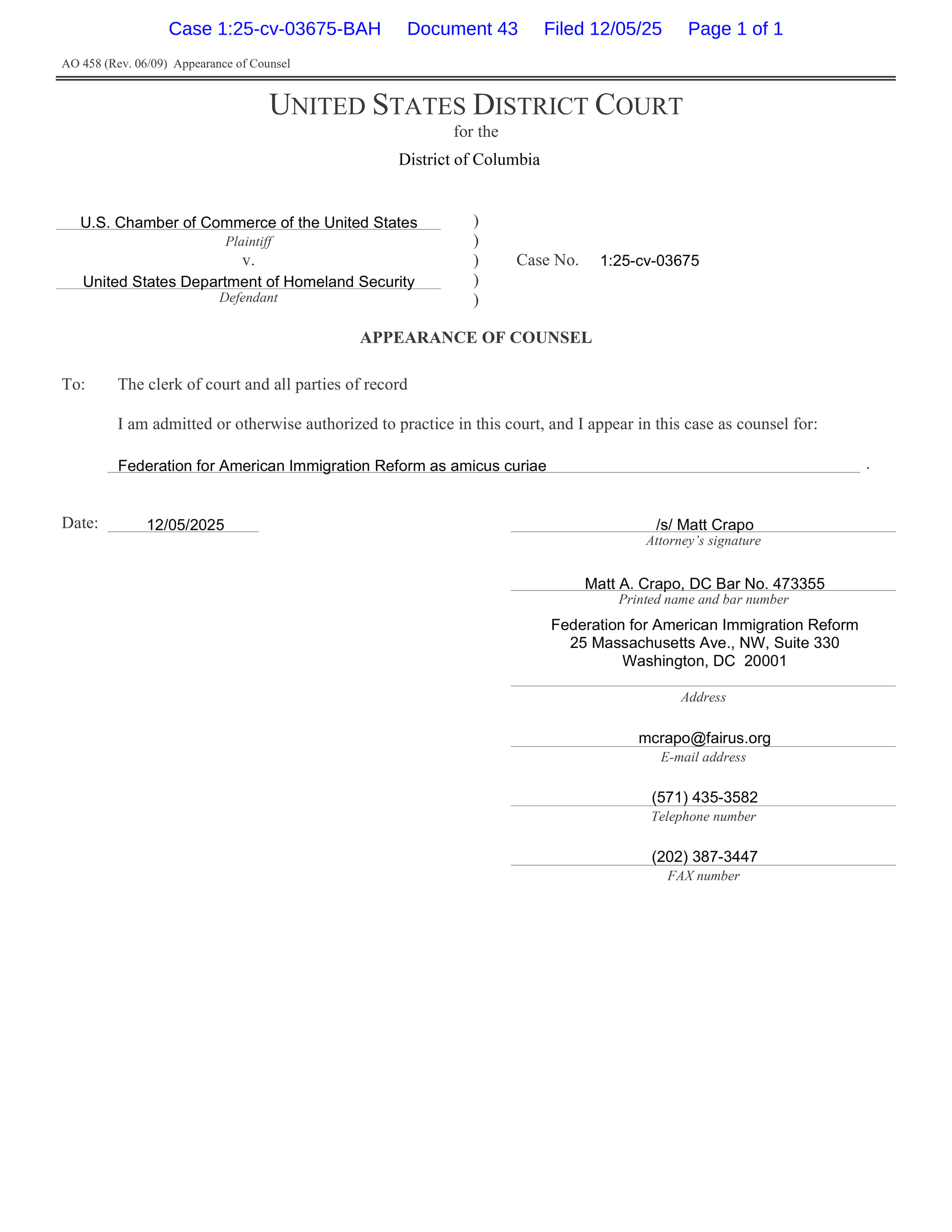
看样子赶在截止期限之前,终于把Administrative Record提交了,有DOS,CBP,USCIS
不过这里面很多名不副实,USCIS提交的都是Proclamation发出来之后给领导擦屁股的那些东西,CBP也一样,DOS倒确实给了一些内部文件,不过仍然是Proclamation发出来之后的
法官决定12月19日上午10点举行听证会
听证会可以通过以下方式旁听:
Toll Free Number: 833-990-9400
Meeting ID: 491822013
话说那个F1需要交i539延长身份/不能读二硕的新政目前怎么样了,有人起诉了吗?除了征集一轮评论以后,这两个月感觉没任何消息
现在肯定没法起诉啊,final rule都还没有出来,不过确实需要小心,final rule公布后60天生效,到时候政府律师肯定会用拖字诀,能让它多生效一天是一天
这个各种流程都做足了的rule,该怎么起诉呢?
并不是在federal register上发表了就意味着完全合法,政策的内容和逻辑也很重要。如果内容本身不合理,还是容易被起诉。
原告律师反驳了政府的意见:
- 政府不能超出INA所规定的范围乱收费
- 该政策本质上是对美国国内用人单位征税,而不是212(f)适用范围内的入境管制
- 即使是215(a)(1)也没有赋予总统如此收费的权力
- Consular Nonreviewability只适用于具体的签证个案,不能拿来给一整套政策开绿灯
- 由总统签署的Proclamation属于"final agency action",APA仍然适用
- 政策已对用人单位的正常招聘造成影响
政府律师继续强调Proclamation属于总统行为,不受APA约束,其余政府部门有义务执行总统的政令。特别是,总统在限制出入境问题上拥有Non-Reviewability。
这么好的帖子居然没有冲钛
可能大家对h1b都麻了 要么放弃要么不需要了
感谢支持
![]()
我还是长期乐观的,毕竟一个政府如果连自家公务员都要折腾,怎么能真正推行有效的政策呢?不过短期内要重视敌人,毕竟现在就是在用flood the zone strategy,打官司再快也是需要时间的,但政令是可以立即生效的。而且我感觉司法界的一个潜规则就是要维持平衡,不会完全否掉一届政府出台的所有政策,多少会给点面子。

